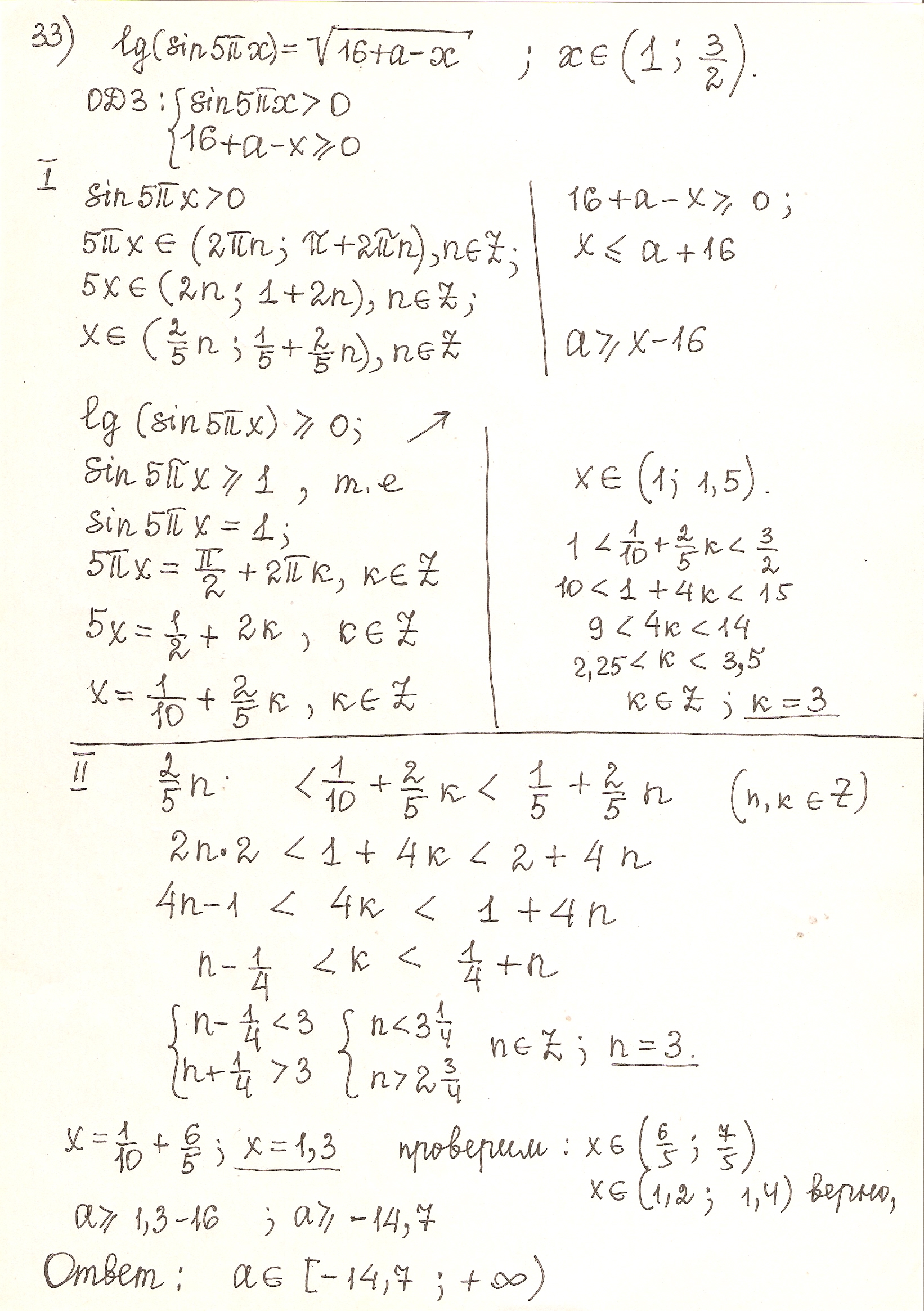
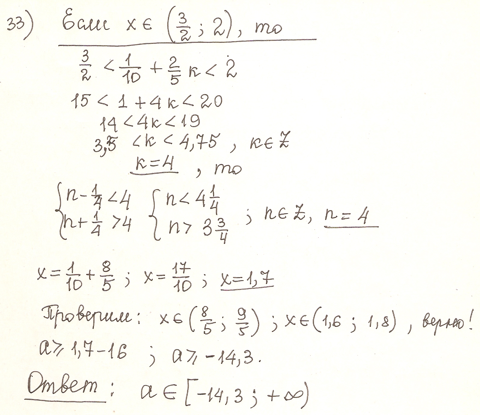
Завдання 33 виконаю перевірку отриманого результату для випадку хє(3/2; 2)
Якщо х=1,7 (з коренем погоджуюсь) а=0 (з вашого проміжку-не погоджуюсь) Маємо lg(sin(5π×1,7)=√16+0-1,7.
lg(sin8,5)=lg(sin(8π+0,5π)=lg(sin0,5π)=lg1=0, що ніяк не дорівнює правій частині. √14,3.
спасибо за подробные решения
Елена! Спасибо за комментарий!
Завдання 33 виконаю перевірку отриманого результату для випадку хє(3/2; 2)
Якщо х=1,7 (з коренем погоджуюсь) а=0 (з вашого проміжку-не погоджуюсь) Маємо lg(sin(5π×1,7)=√16+0-1,7.
lg(sin8,5)=lg(sin(8π+0,5π)=lg(sin0,5π)=lg1=0, що ніяк не дорівнює правій частині. √14,3.
На самом деле окончательный ответ
в 1 случае -14.7
во 2 случае -14.3
Не дописала, там просто была выполнена проверка не до конца!