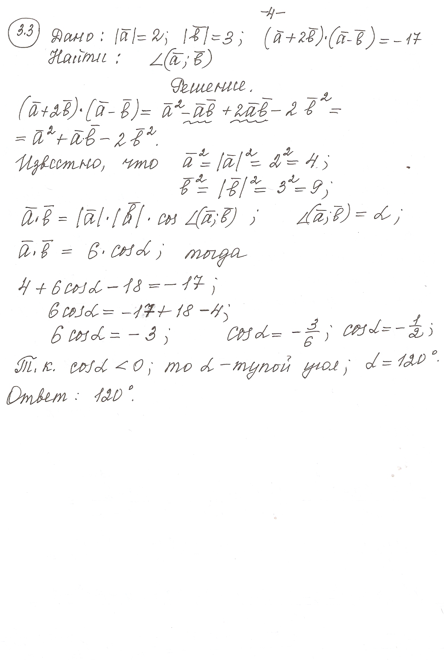
Вариант 9, ДПА-9, 2013 год АвторLyudmula Abramochkina / Опубликовано12.06.2013Оставить комментарий А ЗДЕСЬ МОЖНО СКАЧАТЬ: СМОТРИ А ЗДЕСЬ МОЖНО СКАЧАТЬ: СМОТРИ