ПРОСТЕЙШИЕ ТРИГОНОМЕТРИЧЕСКИЕ УРАВНЕНИЯ

Рассмотрим простейшие тригонометрические уравнения и их решения:

Простейшие тригонометрические уравнения

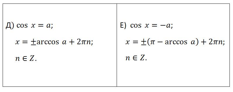
Уравнения А), Б), С) — это простейшие уравнения, который являются частными случаями для уравнения  Д), если а=0, а=1, а=-1.

Простейшие тригонометрические уравнения

Простейшие тригонометрические уравнения

Простейшие тригонометрические уравнения

Простейшие тригонометрические уравнения

Простейшие тригонометрические уравнения

Простейшие тригонометрические уравнения

Простейшие тригонометрические уравнения

Простейшие тригонометрические уравнения — это уравнения вида :1-4 (А, Б, С), их решения необходимо знать наизусть. А как легче выучить, — знаю я, обязательно поделюсь на страницах своего сайта.

ПОДЕЛИТЕСЬ:

ПРЕДЛАГАЕМ ПОСМОТРЕТЬ:
ФОРМУЛЫ СЛОЖЕНИЯ
Синус суммы двух углов равен произведению синуса первого угла на косинус второго угла плюс произведение синуса второго угла на косинус первого угла. sin (α + β) = sin α · cos ...
СМОТРИТЕ ещё:
 Используя таблицу Брадиса тангенсов и котангенсов, вы сможете вычислить значения  тригонометрических функций  с точностью до четвертого знака после запятой. Как использовать таблицу тангенсов и котангенсов? Рассмотрим на нескольких примерах как пользоваться таблицей ...
СМОТРИТЕ ещё:
Как использовать таблицу Брадиса? читайте ниже: Рассмотрим на нескольких примерах как пользоваться таблицей Брадиса: 1. sin(8°) = 0.1392, sin(45°)=0.7071, sin(20°36')=0.3518, sin(40°18')=0.6468 2. cos(15°) = 0.9613, cos(30°)=0.8572, cos(72°24')=0.2990, cos(45°48')=0.7046 В таблице Брадиса представлены значения углов ...
СМОТРИТЕ ещё:
ОСНОВНЫЕ ТРИГОНОМЕТРИЧЕСКИЕ ТОЖДЕСТВА
ПОДЕЛИТЕСЬ: (function() { if (window.pluso)if (typeof window.pluso.start == "function") return; if (window.ifpluso==undefined) { window.ifpluso = 1; var d = document, s = d.createElement('script'), g = 'getElementsByTagName'; ...
СМОТРИТЕ ещё:
ФОРМУЛЫ СЛОЖЕНИЯ
КАК ОПРЕДЕЛИТЬ ЗНАЧЕНИЯ ТАНГЕНСА ИЛИ КОТАНГЕНСА, ИСПОЛЬЗУЯ ТАБЛИЦУ
КАК НАХОДИТЬ ЗНАЧЕНИЯ СИНУСОВ И КОСИНУСОВ, ИСПОЛЬЗУЯ ТАБЛИЦЫ
ОСНОВНЫЕ ТРИГОНОМЕТРИЧЕСКИЕ ТОЖДЕСТВА

Добавить комментарий

Ваш адрес email не будет опубликован. Обязательные поля помечены *

Капчу заполнить! * Лимит времени истёк. Пожалуйста, перезагрузите CAPTCHA.

Этот сайт использует Akismet для борьбы со спамом. Узнайте, как обрабатываются ваши данные комментариев.